
ภาพรวมเศรษฐกิจ/ สถานการณ์สำคัญ
สำหรับมูลค่าการลงทุนจากต่างประเทศของโครงการที่ยังดำเนินการอยู่ จนถึงปีงบประมาณ 2025-2026 (ณ เดือน สิงหาคม 2568) มีมูลค่าทั้งสิ้น 74,947.508 ล้านเหรียญสหรัฐ โดยประเทศที่ยังคงลงทุนในเมียนมาสูงที่สุด 5 อันดับแรก ได้แก่ 1) สิงคโปร์ 2) จีน 3) ฮ่องกง 4) สหราชอาณาจักร และ 5) ไทย ตามลำดับ โดยไทยอยู่ในลำดับที่ 5 มูลค่า 4,504.783ล้านเหรียญสหรัฐ หรือร้อยละ 6.19 โดยมีโครงการที่ยังดำเนินการอยู่ จำนวน 106 โครงการ
1.1 เครื่องชี้วัดทางเศรษฐกิจที่สำคัญ
กองทุนการเงินระหว่างประเทศ (IMF) รายงานล่าสุด (ข้อมูล เม.ย. 68) ได้แก่ ผลิตภัณฑ์มวลรวมภายในประเทศของเมียนมา (GDP) ปี 67 ขยายตัวร้อยละ 1.1 อัตราเงินเฟ้อ ปี 67 อยู่ที่ร้อยละ 26.50 และผลิตภัณฑ์มวลรวมในประเทศต่อหัว (GDP per Capita) ปี 67 อยู่ที่ระดับ 1,179 เหรียญสหรัฐฯ รวมทั้งคาดการณ์ ปี 68 ได้แก่ ผลิตภัณฑ์มวลรวมภายในประเทศของเมียนมา (GDP) ปี 68 คาดว่าขยายตัวร้อยละ 2.7 อัตราเงินเฟ้อ ปี 68 คาดว่าร้อยละ 31 และผลิตภัณฑ์มวลรวมในประเทศต่อหัว (GDP per Capita) ปี 68 คาดว่า 1,100 เหรียญสหรัฐฯ ดังตาราง
ตารางที่ 1 – เครื่องชี้วัดเศรษฐกิจเมียนมา
ตัวชี้วัดทาง เศรษฐกิจที่สำคัญ | ปี 2561 | ปี 2562 | ปี 2563 | ปี 2564 | ปี 2565 | ปี 2566 | ปี 2567
| ปี 2568 (คาดการณ์) |
GDP Growth (%) | 6.3 | 6.6 | -9 | -11.99 | 4.01 | 0.99 | -1.1 | -2.7 |
GDP (billions of US$) | 66.7 | 68.8 | 81.26 | 68.05 | 61.77 | 64.51 | 64.28 | 65.01 |
GDP per Capita (US$) | 1,270 | 1,300 | 1,530 | 1,271 | 1,146 | 1,190 | 1,179 | 1,100 |
Inflation (%) | 7.3 | 9.1 | 2.2 | 9.60 | 28.00 | 25.48 | 26.50 | 31.00 |
ที่มา: IMF https://www.imf.org/en/Publications/WEO/Issues/2025/10/14/world-economic-outlook-october-2025
1.2 อัตราแลกเปลี่ยนเงินตราต่างประเทศ
ตารางที่ 2 เปรียบเทียบอัตราแลกเปลี่ยนเงินจ๊าตต่อสกุลเงินสำคัญ ต.ค. 67 และ ต.ค.68
ประเทศ/สหภาพ | สกุลเงิน | อัตราทางการ สิ้นเดือน ต.ค. 67 | อัตราทางการ สิ้นเดือน ต.ค.68 | อัตราตลาดออนไลน์ สิ้นเดือน ต.ค.68 | อัตราตลาด สิ้นเดือน ต.ค.68 |
USA | 1 USD | 2,100.00 MMK | 2,100.0 MMK | 3,633.00 MMK | 4,045.00MMK |
Euro | 1 EUR | 2,267.00 MMK | 2,447.24 MMK | 4,241.87 MMK | 4,745.00 MMK |
Singapore | 1 SGD | 1,586.50 MMK | 1,621.50 MMK | 2,810.59 MMK | 3,140.00 MMK |
Thailand | 1 THB | 62.17 MMK | 64.63 MMK | 112.02 MMK | 125.79 MMK |
ข้อมูลจากธนาคารกลางเมียนมา : https://forex.cbm.gov.mm/index.php/fxrate, Myanmar Market Price Application
1.3 ภาวะการลงทุน
1.3.1 มูลค่าการลงทุนตามรายประเทศนักลงทุนสำคัญ
ภาพรวมด้านการลงทุนทางตรงของต่างประเทศในเมียนมา (FDI) ในเดือนมิถุนายน 2568 คณะกรรมการส่งเสริมการลงทุนเมียนมา (Myanmar Investment Commission : MIC) อนุมัติโครงการไปแล้ว คิดเป็นมูลค่า 129.393 ล้านเหรียญสหรัฐฯ ดังตาราง
ตารางที่ 3 – ประเทศที่มีการลงทุนทางตรง FDI ในเมียนมา เดือนสิงหาคม 2568
อันดับ | ประเทศ | มูลค่าการลงทุน (ล้านเหรียญสหรัฐ) ส.ค. 68 | สัดส่วน (%) |
1 | สิงคโปร์ | 36.226 | 27.99% |
2 | จีน | 33.063 | 25.55% |
3 | ไทย | 31.589 | 24.41% |
4 | ฮ่องกง | 27.120 | 20.95% |
5 | เกาหลีใต้ | 0.500 | 0.38% |
6 | ญี่ปุ่น | 0.500 | 0.38% |
7 | ไต้หวัน | 0.395 | 0.30% |
| รวม | 129.393 | 100% |
ตารางที่ 4 - มูลค่าการลงทุนจากต่างประเทศที่เคยได้รับอนุญาตสะสม จนถึงปีงบประมาณ 2025-2026

สำหรับมูลค่าการลงทุนจากต่างประเทศที่เคยได้รับอนุญาตสะสมจนถึงปีงบประมาณ 2025-2026 (ณ สิงหาคม 2568) มีมูลค่าทั้งสิ้น 96,046.333 ล้านเหรียญสหรัฐ โดยประเทศที่เข้ามาลงทุนในเมียนมาสูงที่สุด 5 อันดับแรก ได้แก่ 1) สิงคโปร์ 2) จีน 3) ไทย 4) ฮ่องกง และ 5) สหราชอาณาจักร ตามลำดับ โดยไทยอยู่ในลำดับที่ 3 มูลค่า 11,716.417 ล้านเหรียญสหรัฐ หรือร้อยละ 12.49 โดยมีโครงการที่ได้รับอนุมัติแล้ว จำนวน 160 โครงการ
ตารางที่ 5 - มูลค่าการลงทุนจากต่างประเทศที่ยังดำเนินการอยู่ จนถึงปีงบประมาณ 2025-2026

สำหรับมูลค่าการลงทุนจากต่างประเทศของโครงการที่ยังดำเนินการอยู่จนถึงปีงบประมาณ 2025-2026 (ณ เดือนสิงหาคม 2568) มีมูลค่าทั้งสิ้น 74,947.508 ล้านเหรียญสหรัฐ โดยประเทศที่ยังคงลงทุนในเมียนมาสูงที่สุด 5 อันดับแรก ได้แก่ 1) สิงคโปร์ 2) จีน 3) ฮ่องกง 4) สหราชอาณาจักร และ 5) ไทย ตามลำดับ โดยไทยอยู่ในลำดับที่ 5 มูลค่า 4,504.783 ล้านเหรียญสหรัฐ หรือร้อยละ 6.19 โดยมีโครงการที่ยังดำเนินการอยู่ จำนวน 106 โครงการ
1.3.2 มูลค่าการลงทุนตามประเภทสาขาการลงทุนที่สำคัญ
ในส่วนของอุตสาหกรรมที่ต่างชาติลงทุนในเมียนมาของปีงบประมาณ 2025 - 2026 ในเดือน สิงหาคม 2568 รายละเอียดดังตาราง
ตารางที่ 6 – อุตสาหกรรมที่นักลงทุนต่างชาติเข้ามาลงทุนในเมียนมา
ปีงบประมาณ 2025-2026 (ส.ค. 68)
อันดับ | ประเภทธุรกิจ | มูลค่า (ล้านเหรียญสหรัฐ) ส.ค. 68 | สัดส่วน (%) |
1 | Manufacturing | 93.396 | 72.18% |
2 | Power | 9.908 | 7.65% |
3 | Services | 2.589 | 2.00% |
4 | Livestock&Fisheries | 2.500 | 1.93% |
5 | Agriculture | 0.525 | 0.40% |
| รวม | 129.393 | 100% |
|
ตารางที่ 7 สาขาการลงทุนจากต่างประเทศที่ยังดำเนินการอยู่จนถึงปีงบประมาณ 2025-2026

2. สถานการณ์การค้า (การนำเข้า-ส่งออก) ของเมียนมา
1) สถิติการค้าระหว่างประเทศของเมียนมา (ข้อมูล GTA: ม.ค. – ส.ค. 68)
ตารางที่ 8 – มูลค่าการค้าระหว่างประเทศของเมียนมา (ม.ค. – ส.ค. 2568)
หน่วย : ล้านเหรียญสหรัฐฯ
Export | Import | Trade Volume | ||||||
2025 | 2024 | % | 2025 | 2024 | % | 2025 | 2024 | % |
Jan-Aug | Jan-Aug | change | Jan-Aug | Jan-Aug | change | Jan-Aug | Jan-Aug | change |
12,522 | 13,839 | -9% | 13,903 | 14,251 | -2% | 26,425 | 28,090 | -6% |
GTA: Global Trade Atalas
ในเดือนมกราคม – สิงหาคม 2568 มูลค่าการค้าระหว่างประเทศโดยรวมของเมียนมามีมูลค่า 26,425 ล้านเหรียญสหรัฐฯ ลดลงร้อยละ 6% เมื่อเทียบกับช่วงเดียวกันของปีที่แล้ว โดยในส่วนของการส่งออกมีมูลค่า 12,522 ล้านเหรียญสหรัฐฯ ลดลงร้อยละ 9% การนำเข้าสินค้าจากต่างประเทศของเมียนมามีมูลค่า 13,903 ล้านเหรียญสหรัฐฯ ลดลงร้อยละ 2% ทั้งนี้ ในเดือนมกราคม - สิงหาคม 2568 เมียนมาได้ดุลการค้าเป็นมูลค่า 1,381 ล้านเหรียญสหรัฐฯ
สินค้าที่เมียนมาส่งออก ที่สำคัญ ได้แก่ เครื่องแต่งกาย ก๊าซธรรมชาติ พืชพันธุ์ ผักต่างๆ สินแร่ รองเท้า ยางพารา ปลา สัตว์น้ำ ไม้ เมล็ดน้ำมัน อัญมณี เป็นต้น
สินค้าที่เมียนมานำเข้า ที่สำคัญ ได้แก่ น้ำมันสำเร็จรูป เครื่องจักรกล ผ้าทอ เส้นด้าย ยานพาหนะ พลาสติก เหล็ก ปุ๋ย เครื่องดื่ม ผลิตภัณฑ์ยา เป็นต้น
2) ข้อมูลล่าสุดของกระทรวงพาณิชย์เมียนมา (เม.ย. - มิ.ย. 67)
* กระทรวงพาณิชย์เมียนมา เปิดเผยข้อมูลล่าสุดเดือน มิ.ย. 67 โดยข้อมูลหลังจากนั้นไม่มีการเผยแพร่เพิ่มเติม*
สินค้าส่งออกสำคัญของเมียนมา
ตารางที่ 9 – มูลค่าการส่งออกสินค้าที่สำคัญของเมียนมา (เมษายน – มิถุนายน 2567) ที่มา : กระทรวงพาณิชย์เมียนมา
ลำดับ | สินค้า | มูลค่า (ล้านเหรียญสหรัฐฯ) | สัดส่วน (%) |
1 | MANUFACTURING GOODS | 1,896.82 | 53.06% |
2 | AGRICULTURAL PRODUCTS | 1,405.20 | 39.31% |
3 | MARINE PRODUCTS | 144.973 | 4.05% |
4 | MINERALS | 46.838 | 1.31% |
5 | FOREST PRODUCTS | 15.521 | 0.43% |
6 | ANIMAL PRODUCTS | 1.851 | 0.05% |
7 | OTHER PRODUCTS | 63.302 | 1.77% |
| รวม | 3,574.520 | 100.0% |
สินค้านำเข้าสำคัญของเมียนมา
ตารางที่ 10 – มูลค่าการนำเข้าสินค้าที่สำคัญของเมียนมา (เมษายน – มิถุนายน 2567) ที่มา : กระทรวงพาณิชย์เมียนมา
ลำดับ | สินค้า | มูลค่า (ล้านเหรียญสหรัฐฯ) | สัดส่วน (%) |
1 | สินค้า Commercial Raw material | 1,985.968 | 59.60% |
2 | สินค้า Investment Goods | 519.433 | 15.58% |
3 | สินค้าอุปโภคบริโภค (Consumer Goods) | 826.467 | 24.80% |
| รวม | 3,331.868 | 100% |
ในช่วงเดือนเมษายน - มิถุนายน 2567 มูลค่าการค้าระหว่างประเทศโดยรวมของเมียนมามีมูลค่า 6,906.388 ล้านเหรียญสหรัฐฯ มูลค่าการส่งออกของเมียนมามี 3,574.520 ล้านเหรียญสหรัฐฯ และมูลค่าการนำเข้าของเมียนมามี 3,331.868 ล้านเหรียญสหรัฐฯ ทั้งนี้เมียนมาได้ดุลการค้าเป็นมูลค่า 242.652 ล้านเหรียญสหรัฐฯ
สินค้าที่เมียนมาส่งออก ที่สำคัญ ได้แก่ ผลิตภัณฑ์อุตสาหกรรม การเกษตร ประมง สินแร่ ผลิตภัณฑ์ป่าไม้ ผลิตภัณฑ์จากสัตว์ เป็นต้น
สินค้าที่เมียนมานำเข้า ที่สำคัญ ได้แก่ วัตถุดิบ สินค้าทุน สินค้าอุปโภคบริโภค เป็นต้น
3) สถานการณ์การค้าระหว่างไทย – เมียนมา (ข้อมูลกรมศุลกากรไทย: ม.ค. – ก.ย. 68)
ตารางที่ 11 สรุปมูลค่าการค้าระหว่างไทย – เมียนมา
รายการ | มูลค่า: ล้านเหรียญสหรัฐฯ | อัตราขยายตัว (%) | สัดส่วน (%) / โลก | |||
2567 ม.ค. – ก.ย. | 2568 ม.ค. – ก.ย. | 2567 ม.ค. – ก.ย. | 2568 ม.ค. – ก.ย. | 2567 ม.ค. – ก.ย. | 2568 ม.ค. – ก.ย. | |
มูลค่าการค้า | 5,339 | 5,592 | -4.99 | 4.52 | 1.18 | 1.10 |
การส่งออกของไทย | 2,966 | 3,293 | -13.04 | 9.9 | 1.3 | 1.3 |
การนำเข้าของไทย | 2,373 | 2,299 | -1.90 | -3.11 | 1.04 | 0.9 |
ดุลการค้าของไทย | 593 | 994 | -40.22 | 40.34 |
|
|
ที่มา : Thailand’s Trade Statistic (moc.go.th)
ปี 2568 มูลค่าการค้ารวมระหว่างไทยและเมียนมาระหว่างเดือนมกราคม - กันยายน มีมูลค่ารวมทั้งสิ้น 5,592 ล้านเหรียญสหรัฐ เพิ่มขึ้นร้อยละ 4.52 จากช่วงเดียวกันของปีที่แล้ว โดยไทยมีการส่งออกไปยังเมียนมาเป็นมูลค่า 3,293 ล้านเหรียญสหรัฐ เพิ่มขึ้นร้อยละ 9.9 จากช่วงเดียวกันของปีที่ผ่านมา เนื่องจากการขอใบอนุญาตนำเข้าสินค้าของประเทศเมียนมาใช้เวลานาน สำหรับการนำเข้าสินค้าจากเมียนมามายังประเทศไทยมีมูลค่า 2,299 ล้านเหรียญสหรัฐ ลดลงร้อยละ 3.11 จากช่วงเดียวกันของปีที่ผ่านมา ทั้งนี้ไทยได้ดุลการค้าเป็นมูลค่า 994 ล้านเหรียญสหรัฐ
สินค้าที่ไทยส่งออกไปเมียนมา ที่สำคัญ ได้แก่ เครื่องดื่ม เคมีภัณฑ์ น้ำมันสำเร็จรูป เครื่องสำอาง สบู่ และผลิตภัณฑ์รักษาผิว รถยนต์ อุปกรณ์และส่วนประกอบ ผลิตภัณฑ์ข้าวสาลีและอาหารสำเร็จรูปอื่นๆ ไขมันและน้ำมันจากพืชและสัตว์ เหล็ก เหล็กกล้าและผลิตภัณฑ์ สินค้าอุตสาหกรรมการเกษตรอืนๆ เม็ดพลาสติก เครื่องจักรกลและส่วนประกอบของเครื่องจักรกล เครื่องโทรสาร โทรศัพท์ อุปกรณ์และส่วนประกอบ ปูนซิเมนต์ รถจักรยานยนต์และส่วนประกอบ ผลิตภัณฑ์เภสัชภัณฑ์ เป็นต้น

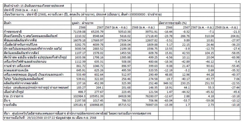
สินค้าที่ไทยนำเข้าจากเมียนมา ที่สำคัญ ได้แก่ ก๊าซธรรมชาติ สินแร่โลหะอื่นๆ เศษโลหะและผลิตภัณฑ์ พืชและผลิตภัณฑ์จากพืช เนื้อสัตว์สำหรับการบริโภค ผัก ผลไม้และของปรุงแต่งที่ทำจากผัก ผลไม้ สัตว์และผลิตภัณฑ์จากสัตว์ สัตว์น้ำสด
แช่เย็น แช่แข็ง แปรรูปและกึ่งสำเร็จรูป เครื่องจักรไฟฟ้าและส่วนประกอบ กาแฟ ชา เครื่องเทศ ลวดและสายเคเบิล เครื่องเพชรพลอย อัญมณี เงินแท่งและทองคำ ไม้ซูง ไม้แปรรูปและผลิตภัณฑ์ ผลิตภัณฑ์ทำจากพลาสติก กล้อง เสนส์และอุปกรณ์การถ่ายรูป ถ่ายภาพยนตร์ เสื่อผ้าสำเร็จรูป เป็นต้น

3. สถานการณ์สำคัญ
3.1 เมียนมาส่งเสริมการส่งออกข้าวโพดเลี้ยงสัตว์โดยกลไกความร่วมมือภาครัฐและภาคเอกชนเมียนมา
กระทรวงพาณิชย์เมียนมา โดยกรมส่งเสริมการค้าเมียนมา (MyanTrade) ส่งเสริมการส่งออกข้าวโพดเลี้ยงสัตว์และเปิดโอกาสตลาดส่งออกใหม่ให้เมียนมา โดยใช้กลไกความร่วมมือภาครัฐและภาคเอกชน (PPP : Public Private Partnership) รวมทั้งมีการจัดประชุมเรื่องดังกล่าวโดยหน่วยงานที่เกี่ยวข้อง โดยมุ่งเน้นเรื่องคุณภาพข้าวโพดเลี้ยงสัตว์เมียนมาต้องเป็นมาตรฐานสากลและสอดคล้องกับกฎระเบียบการนำเข้าของประเทศเป้าหมายเพื่อขยายตลาด ซึ่งเมียนมาจะกระชับความร่วมมือระหว่างภาครัฐและเอกชนเพื่อเสริมสร้างความแข็งแกร่งให้กับตลาดส่งออกปัจจุบัน เช่น ไทย ฟิลิปปินส์ เวียดนาม จีน และสำรวจตลาดส่งออกใหม่ที่ศักยภาพเพิ่มเติมด้วย
ผลกระทบ/โอกาส การส่งเสริมการส่งออกข้าวโพดเลี้ยงสัตว์ของเมียนมา “เป็นโอกาส” ให้กับธุรกิจไทยที่เกี่ยวข้อง โดยเฉพาะ ผู้นำเข้าในไทย เพื่อใช้ข้าวโพดเลี้ยงสัตว์เมียนมาเป็นวัตถุดิบผลิตอาหารสัตว์ ซึ่งไทยนำเข้าข้าวโพดเลี้ยงสัตว์เมียนมาอันดับ 1 โดยปี 2567 ไทยนำเข้าข้าวโพดเลี้ยงสัตว์เมียนมา 1.75 ล้านตัน มูลค่า 1.7 หมื่นล้านบาท คิดเป็นสัดส่วน 88% ของการนำเข้าข้าวโพดเลี้ยงสัตว์ทั้งหมด ส่วนปี 2568 (ม.ค.-ส.ค.) ไทยนำเข้าข้าวโพดเลี้ยงสัตว์เมียนมา 1.23 ล้านตัน มูลค่า 1.2 หมื่นล้านบาท คิดเป็นสัดส่วน 86% กล่าวได้ว่า ข้าวโพดเลี้ยงสัตว์เมียนมาช่วยสนับสนุน Supply Chain การผลิตอาหารในประเทศไทย รวมทั้งช่วยสร้างความมั่นคงทางอาหารให้กับประเทศไทยและภูมิภาค ประการสำคัญ ข้าวโพดเลี้ยงสัตว์เมียนมาบางส่วนได้ใช้ระบบตรวจสอบย้อนกลับ (Traceability System) ประกอบการส่งออกแล้ว เพื่อสร้างความเชื่อมั่นว่าเป็นข้าวโพดเลี้ยวสัตว์ปลอดการเผา ไม่บุกรุกป่า ลดฝุ่น PM2.5 โดยสถานเอกอัคร ราชทูตไทย ณ กรุงย่างกุ้ง (สอท.ย่างกุ้ง) สำนักงานส่งเสริมการค้า ณ กรุงย่างกุ้ง (สคต.ย่างกุ้ง) สมาคมผู้ประกอบการข้าวโพดเมียนมา (MCIA : Myanmar Corn Industrial Association) ได้ส่งเสริมการใช้ระบบตรวจสอบย้อนกลับ โดยสมาคม MCIA ออกใบรับรอง (Certification) ให้กับผู้ใช้ระบบตรวจสอบย้อนกลับประกอบการส่งออก ซึ่งระบบตรวจสอบย้อนกลับมีบริษัท Control Union ซึ่งเป็นบริษัทฯ ตรวจรับรองที่มีความน่าเชื่อถือระดับสากล ให้การตรวจรับรองและสร้างความเชื่อมั่นว่าเป็นข้าวโพดเลี้ยงสัตว์ปลอดการเผา (ตามโควต้าการรับซื้อ ที่หักจุดความร้อนจากการเผา และพื้นที่ป่าแล้ว)
ข้อคิดเห็น/ข้อเสนอแนะ ขอให้ผู้ส่งออกข้าวโพดเลี้ยงสัตว์เมียนมาใช้ระบบตรวจสอบย้อนกลับและให้สมาคม MCIA ออกใบรับรองประกอบการส่งออก ส่วนผู้นำเข้าในไทยขอให้ขอใบรับรองการใช้ระบบตรวจสอบย้อนกลับ จากผู้ส่งออกข้าวโพดเลี้ยงสัตว์เมียนมา เพื่อสร้างความเชื่อมั่นว่าเป็นข้าวโพดเลี้ยวสัตว์ปลอดการเผา ไม่บุกรุกป่า ลดฝุ่น PM2.5 ซึ่งช่วยส่งเสริมการค้าสินค้าเกษตรที่เป็นมิตรต่อสิ่งแวดล้อมและดีต่อสุขภาพ รวมทั้งสอดคล้องกับข้อกำหนดการนำเข้าข้าวโพดเลี้ยงสัตว์ของไทยในอนาคต ซึ่งกรมการค้าต่างประเทศ กระทรวงพาณิชย์ เตรียมบังคับใช้มาตรการใหม่ โดยให้นำเข้าข้าวโพดเลี้ยงสัตว์ปลอดการเผา เพื่อลดปัญหามลพิษ PM 2.5 ข้ามพรมแดน มีผลบังคับตั้งแต่วันที่ 1 ม.ค. 69 ซึ่งผู้นำเข้าสินค้าข้าวโพดเลี้ยงสัตว์จากทุกประเทศ จะต้องมีหลักฐานเพื่อแสดงว่าข้าวโพดเลี้ยงสัตว์ที่นำเข้า มาจากการเพาะปลูกหรือพื้นที่ปลอดการเผา เพื่อลดฝุ่น PM 2.5 ข้ามพรมแดน และสร้างมาตรฐานการค้าใหม่ที่คำนึงถึงสิ่งแวดล้อม โดยผู้นำเข้าสามารถรับรองตนเองได้ว่าสินค้านำเข้ามาจากแหล่งที่ไม่เผา หรือใช้เอกสารจากหน่วยงานรัฐของประเทศผู้ส่งออกหรือองค์กรที่ได้รับการยอมรับในระดับสากลเป็นผู้รับรองก็ได้ ถือเป็นครั้งแรกที่ไทยใช้มาตรการด้านสิ่งแวดล้อมกับการนำเข้าสินค้าเกษตร ซึ่งภาคเอกชนที่เกี่ยวข้อง ทั้งผู้ส่งออกและผู้นำเข้าข้าวโพดเลี้ยงสัตว์ต้องเตรียมพร้อมปรับตัวต่อไป
ที่มา: Global New Light Of Myanmar (www.gnlm.com.mm)
3.2 เมียนมามุ่งเน้นการพัฒนาวิทยาศาสตร์และเทคโนโลยีให้เป็นวาระแห่งชาติ
เมียนมามุ่งเน้นการพัฒนาวิทยาศาสตร์และเทคโนโลยีให้เป็นวาระแห่งชาติ โดยเมียนมามีความต้องการผู้เชี่ยวชาญและนักวิชาการจำนวนมากในด้านวิทยาศาสตร์ เทคโนโลยี พลังงาน อุตสาหกรรม เกษตรกรรม รวมทั้งให้ความสำคัญกับการปลูกฝังและพัฒนาเยาวชนให้มีทักษะการคิดวิเคราะห์ แก้ปัญหา และร่วมมือกัน ตลอดจนการใช้เทคโนโลยี นวัตดรรม การประยุกต์ใช้ AI ในเรื่องต่างๆ โดยเฉพาะภาคเกษตรกรรม ซึ่งจะต้องมีบุคลากรที่มีคุณภาพ มีทักษะ ความรู้ ความสามารถสอดรับกับการใช้เทคโนโลยีดังกล่าวด้วย
ผลกระทบ/โอกาส การส่งเสริมและมุ่งเน้นการพัฒนาวิทยาศาสตร์และเทคโนโลยีให้เป็นวาระแห่งชาติของเมียนมา “เป็นโอกาสอันดี” สะท้อนว่าเมียนมาให้ความสำคัญกับเรื่องดังกล่าว ซึ่งจะส่งผลดีต่อเมียนมาในระยะต่อไป เพราะ วิทยาศาสตร์ เทคโนโลยี นวัตกรรม และบุคลากรที่มีคุณภาพ คือรากฐานสำคัญของการพัฒนาประเทศในอนาคต
ข้อคิดเห็น/ข้อเสนอแนะ ขอให้ผู้ประกอบการพิจารณาโอกาสธุรกิจที่เกี่ยวข้อง เช่น ธุรกิจที่เกี่ยวข้องกับการใช้เทคโนโลยียกระดับการเกษตร การผลิต และเรื่องต่างๆ เช่น เทคโนโลยีและเครื่องจักรกลการเกษตร ดิจิทัลและ AI รวมทั้งการศึกษาและการยกระดับบุคลากร ซึ่งธุรกิจไทยมีความรู้และความเชี่ยวชาญ สามารถต่อยอดเติมเต็มความต้องการตลาดเมียนมาในเรื่องดังกล่าวได้ เพื่อประโยชน์ร่วมกันของไทยและเมียนมาต่อไป
ที่มา: Global New Light Of Myanmar (www.gnlm.com.mm)
3.3 เมียนมาตั้งเป้าส่งออกยางพารา 3 แสนตัน 480 ล้านเหรียญฯ ในปีงบประมาณ 68 (เม.ย. 68 - มี.ค. 69)เมียนมาตั้งเป้าส่งออกยางพารา 3 แสนตัน มูลค่า 480 ล้านเหรียญฯ ในปีงบประมาณ 2568 (เม.ย. 68 - มี.ค. 69) ยางพาราเมียนมาส่วนใหญ่ปลูกในรัฐมอญ ภาคตะนาวศรี และรัฐกะเหรี่ยง มีผลผลิตประมาณ 4 แสนตันต่อปี โดยเมียนมาตั้งเป้าส่งออก 3 แสนตันต่อปี มีตลาดส่งออกหลัก คือ จีน (75% ของการส่งออกยางพาราเมียนมา) นอกนั้นเป็นประเทศต่างๆ เช่น สิงคโปร์ มาเลเซีย อินโดนีเซีย เกาหลีใต้ ญี่ปุ่น เป็นต้น ทั้งนี้ นอกจากส่งเสริมการส่งออกยางพารา เมียนมาส่งเสริมการสร้างมูลค่าเพิ่มและการแปรรูปยางพาราในเมียนมาด้วย
ผลกระทบ/โอกาส การส่งเสริมการส่งออกยางพาราเมียนมาและสร้างมูลค่าเพิ่มหรือแปรรูปยางพาราในเมียนมา “เป็นโอกาส” ของธุรกิจไทยที่เกี่ยวข้อง ทั้งการส่งออกยางพาราเมียนมา การสร้างมูลค่าเพิ่มหรือการแปรรูปยางพาราในเมียนมา เนื่องจากเมียนมามีศักยภาพสินค้าเกษตรหลายชนิด รวมทั้งยางพาราเมียนมาด้วย
ข้อคิดเห็น/ข้อเสนอแนะ ขอให้ผู้ประกอบการพิจารณาโอกาสธุรกิจที่เกี่ยวข้อง เช่น การส่งออกยางพาราเมียนมา การสร้างมูลค่าเพิ่มหรือการแปรรูปยางพาราในเมียนมา รวมทั้งสามารถพิจารณาเรื่องการใช้ Export Earning รายได้ส่งออกยางพาราเมียนมา เจรจาจับคู่กับการขอ Import License นำเข้าสินค้าไทยสู่ตลาดเมียนมาได้ด้วย
ที่มา: Global New Light Of Myanmar (www.gnlm.com.mm)
3.4 ข้าวโพดเลี้ยงสัตว์เมียนมาเริ่มใช้ระบบตรวจสอบย้อนกลับ สร้างความเชื่อมั่นว่าปลอดเผาและไม่บุกรุกป่า ลดฝุ่น PM 2.5
ข้าวโพดเลี้ยงสัตว์เมียนมาเริ่มใช้ระบบตรวจสอบย้อนกลับ สร้างความเชื่อมั่นว่าปลอดเผาและไม่บุกรุกป่า ลดฝุ่น PM 2.5 เตรียมความพร้อมโดยใช้ระบบตรวจสอบย้อนกลับดังกล่าว เริ่มดำเนินการย้อนกลับข้าวโพดเลี้ยงสัตว์เมียนมา ปลอดการเผาและไม่บุกรุกป่า เพื่อลดปัญหาฝุ่น PM 2.5" เมื่อวันที่ 16 ต.ค. 68 ณ สถานเอกอัครราชทูตไทย ณ กรุงย่างกุ้ง ซึ่งความสำเร็จเกิดจาก "ความร่วมมือภาครัฐและภาคเอกชน" ซึ่งเป็นประโยชน์ร่วมกันหลายประการ ได้แก่ เสริมสร้างความมั่นคงทางอาหารของไทย เมียนมา และภูมิภาค สนับสนุนการค้า 2 ทางระหว่างกัน ส่งเสริมการค้าเป็นมิตรสิ่งแวดล้อม ดีต่อสุขภาพเกษตรกรและประชาชน รวมทั้งเตรียมพร้อมรองรับมาตรการนำเข้าข้าวโพดเลี้ยงสัตว์ปลอดการเผาของไทย ที่จะเริ่มบังคับใช้ 1 ม.ค. 69 เป็นต้นไปซึ่งไทยจะใช้มาตรการนำเข้าข้าวโพดเลี้ยงสัตว์ปลอดการเผาจากทุกประเทศ (รวมทั้งเมียนมาด้วย) เพื่อประโยชน์ร่วมกันต่อไปตั้งแต่ปลายปี 2567 (ดำเนินการแล้ว 1 ปี) และได้จัดงาน "ประกาศผลสำเร็จระบบตรวจสอบ
ผลกระทบ/โอกาส การส่งเสริมการใช้งานระบบตรวจสอบย้อนกลับ สร้างความเชื่อมั่นว่าข้าวโพดเลี้ยงสัตว์เมียนมาปลอดเผาและไม่บุกรุกป่า ลดฝุ่น PM 2.5 “เป็นโอกาส” ให้กับธุรกิจที่เกี่ยวข้อง ทั้งผู้ส่งออกข้าวโพดเลี้ยงสัตว์ในเมียนมา และผู้นำเข้าข้าวโพดเลี้ยงสัตว์ในประเทศไทย เพื่อใช้ข้าวโพดเลี้ยงสัตว์เมียนมาเป็นวัตถุดิบผลิตอาหารสัตว์ในประเทศไทย เนื่องจากไทยนำเข้าข้าวโพดเลี้ยงสัตว์เมียนมา อันดับ 1 (ไทยนำเข้าข้าวโพดเลี้ยงสัตว์เมียนมา 1.2-1.8 ล้านตัน 1.2-1.7 หมื่นล้านบาทต่อปี คิดเป็นสัดส่วนเกือบ 90% ของการนำเข้าข้าวโพดเลี้ยงสัตว์ของไทย) และไทยก็เป็นตลาดส่งออกข้าวโพดเลี้ยงสัตว์ อันดับ 1 ของเมียนมาเช่นกัน กล่าวได้ว่า ข้าวโพดเลี้ยงสัตว์เมียนมาเป็นผลประโยชน์ร่วมกันของไทยและเมียนมา โดยสมาคม MCIA หรือสมาคมผู้ประกอบการข้าวโพดเลี้ยงสัตว์เมียนมา (MCIA : Myanmar Corn Industrial Association) ส่งเสริมการใช้งานระบบตรวจสอบย้อนกลับและสมาคม MCIA ออกใบรับรอง (Certification) การใช้งานระบบตรวจสอบย้อนกลับ เพื่อเป็นเอกสารประกอบการส่งออกข้าวโพดเลี้ยงสัตว์เมียนมาด้วย พร้อมรองรับมาตรการนำเข้าข้าวโพดเลี้ยงสัตว์ปลอดการเผาของไทยกับการนำเข้าจากทุกประเทศ (รวมทั้งข้าวโพดเลี้ยงสัตว์เมียนมาด้วย) ซึ่งไทยเตรียมบังคับใช้ 1 ม.ค. 69 เป็นต้นไป
ข้อคิดเห็น/ข้อเสนอแนะ ขอให้ผู้ส่งออกข้าวโพดเลี้ยงสัตว์เมียนมาใช้ระบบตรวจสอบย้อนกลับและให้สมาคม MCIA ออกใบรับรองประกอบการส่งออก ส่วนผู้นำเข้าในไทยขอให้ขอใบรับรองการใช้ระบบตรวจสอบย้อนกลับ จากผู้ส่งออกข้าวโพดเลี้ยงสัตว์เมียนมา เพื่อสร้างความเชื่อมั่นว่าเป็นข้าวโพดเลี้ยวสัตว์ปลอดการเผา ไม่บุกรุกป่า ลดฝุ่น PM2.5 ซึ่งช่วยส่งเสริมการค้าสินค้าเกษตรที่เป็นมิตรต่อสิ่งแวดล้อมและดีต่อสุขภาพ รวมทั้งสอดคล้องกับข้อกำหนดการนำเข้าข้าวโพดเลี้ยงสัตว์ของไทยในอนาคต ซึ่งกรมการค้าต่างประเทศ กระทรวงพาณิชย์ เตรียมบังคับใช้มาตรการใหม่ โดยให้นำเข้าข้าวโพดเลี้ยงสัตว์ปลอดการเผา เพื่อลดปัญหามลพิษ PM 2.5 ข้ามพรมแดน มีผลบังคับตั้งแต่วันที่ 1 ม.ค. 69 ซึ่งผู้นำเข้าสินค้าข้าวโพดเลี้ยงสัตว์จากทุกประเทศ (รวมทั้งข้าวโพดเลี้ยงสัตว์เมียนมาด้วย) จะต้องมีหลักฐานเพื่อแสดงว่าข้าวโพดเลี้ยงสัตว์ที่นำเข้าปลอดการเผา เพื่อลดฝุ่น PM 2.5 และสร้างมาตรฐานการค้าใหม่ที่คำนึงถึงสิ่งแวดล้อม โดยผู้นำเข้าสามารถรับรองตนเองได้ว่าสินค้านำเข้ามาจากแหล่งที่ไม่เผา หรือใช้เอกสารจากหน่วยงานรัฐของประเทศผู้ส่งออกหรือองค์กรที่ได้รับการยอมรับในระดับสากลเป็นผู้รับรองก็ได้ ถือเป็นครั้งแรกที่ไทยใช้มาตรการด้านสิ่งแวดล้อมกับการนำเข้าสินค้าเกษตร ซึ่งภาคเอกชนที่เกี่ยวข้อง ทั้งผู้ส่งออกและผู้นำเข้าข้าวโพดเลี้ยงสัตว์ต้องเตรียมพร้อมปรับตัวต่อไป
ที่มา: Global New Light Of Myanmar (www.gnlm.com.mm)
3.5 เมียนมาขึ้นค่าแรงขั้นต่ำ เพิ่ม 1000 จ๊าต รวมเป็น 7,800 จ๊าตต่อวัน ตั้งแต่ 1 ต.ค. 68
เมียนมาขึ้นค่าแรงขั้นต่ำ 1 ต.ค. 68 เพิ่ม 1000 จ๊าต รวมเป็น 7,800 จ๊าตต่อวัน โดยแบ่งเป็น ค่าแรงขั้นต่ำ 4,800 จ๊าตต่อวัน สำหรับวันทำงาน 8 ชั่วโมง (ชั่วโมงละ 600 จ๊าต) และเงินส่วนเพิ่ม 3,000 จ๊าตต่อวัน ที่มีผลบังคับใช้ตั้งแต่ 1 ต.ค. 68 เป็นต้นไป โดยมีผลกับการจ้างงาน 10 คนขึ้นไป ทั้งนี้ ช่วง 3 ปีที่ผ่านมา เมียนมาได้เพิ่มเงินส่วนเพิ่มมาโดยตลอดทุกปี ได้แก่ เงินส่วนเพิ่ม 1,000 จ๊าต เมื่อ 1 ต.ค. 66 เงินส่วนเพิ่มรวม 2,000 จ๊าต เมื่อ 1 ส.ค. 67 และปัจจุบัน เงินส่วนเพิ่ม 3,000 จ๊าต เมื่อ 1 ต.ค. 68 รวมเป็น 7,800 จ๊าตต่อวัน (หรือประมาณ 65 บาทต่อวัน เมื่อคิดอัตราแลกเปลี่ยน 120 จ๊าต/บาท)
ผลกระทบ/โอกาส การปรับขึ้นค่าแรงจากเดิม 6,800 เป็น 7,800 จ๊าตต่อวันดังกล่าว มีข้อดีคือเพิ่มกำลังซื้อและเพิ่มปริมาณเงินหมุนเวียนในระบบมากขึ้น ส่งเสริมให้เกิดการซื้อขายจับจ่ายใช้สอยมากขึ้น อย่างไรก็ตาม การที่มีปริมาณเงินในระบบมากขึ้นอาจส่งผลกระทบทำให้เงินอ่อนค่าหรือเงินเฟ้อมากขึ้น รวมทั้งอาจส่งผลต่อต้นทุนค่าแรงของธุรกิจ ซึ่งอาจส่งผลต่อการปรับราคาสินค้าหรือบริการให้สูงขึ้น ทั้งนี้ แม้เมียนมาปรับขึ้นค่าแรงขั้นต่ำ (รวมเป็น 7,800 จ๊าตต่อวัน หรือ 65 บาทต่อวัน) ค่าแรงขั้นต่ำเมียนมาก็ยังถูกกว่าประเทศอื่นๆ นับว่าเมียนมามีข้อได้เปรียบเรื่องต้นทุนค่าแรงเมื่อเทียบกับประเทศอื่นๆ
ข้อคิดเห็น/ข้อเสนอแนะ เรื่องค่าแรงเป็นหนึ่งในปัจจัยสำคัญของธุรกิจ ทั้งการหากำลังแรงงานและต้นทุนแรงงานที่เกิดขึ้น โดยเฉพาะธุรกิจที่ดำเนินการหรือผลิตในเมียนมา สิ่งสำคัญคือการติดตามสถานการณ์และปรับแผนธุรกิจให้สอดคล้องรองรับ เช่น ต้นทุนค่าแรง อัตราแลกเปลี่ยน กฎระเบียบที่เกี่ยวข้อง การขนส่งโลจิสติกส์ แผนการตลาด เพราะไม่ว่าอะไรจะเกิดขึ้น ตลาดเมียนมายังคงมีความต้องการสินค้าและบริการ รวมทั้งนิยมสินค้าและธุรกิจไทย จึงเป็นโอกาสของธุรกิจในตลาดเมียนมา แม้มีความท้าทายหลายประการก็ตาม ซึ่งหากธุรกิจปรับกลยุทธ์ก้าวข้ามความท้าทายได้ ก็จะปักหมุดตลาดเมียนมาได้ต่อไป
ที่มา: Global New Light Of Myanmar (www.gnlm.com.mm)
สำนักงานส่งเสริมการค้าในต่างประเทศ ณ กรุงย่างกุ้ง พฤศจิกายน 2568